Номер 1077 - ГДЗ Математика 6 класс. Мерзляк, Полонский. Учебник. Страница 230

Вернуться к содержанию учебника

Страница 230

1074 1075 1076 1077 1078 1079 1080

Вопрос

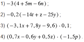
Раскройте скобки:

Подсказка

Вспомните:

  1. Распределительное свойство умножения.
  2. Правила умножения рациональных чисел.
  3. Правила вычитания рациональных чисел.
  4. Правила сложения рациональных чисел.
  5. Модуль числа.
  6. Умножение десятичных дробей.

Ответ


Вернуться к содержанию учебника