Номер 1091 - ГДЗ Математика 6 класс. Мерзляк, Полонский. Учебник. Страница 231

Вернуться к содержанию учебника

Страница 231

1088 1089 1090 1091 1092 1093 1094

Вопрос

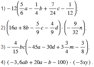
Раскройте скобки:

Подсказка

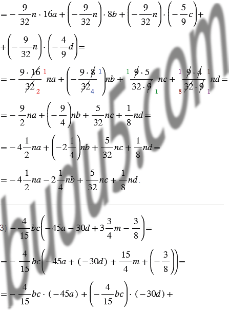
Ответ


Вернуться к содержанию учебника