Номер 1100 - ГДЗ Математика 6 класс. Мерзляк, Полонский. Учебник. Страница 232

Вернуться к содержанию учебника

Страница 232

1097 1098 1099 1100 1101 1102 1103

Вопрос

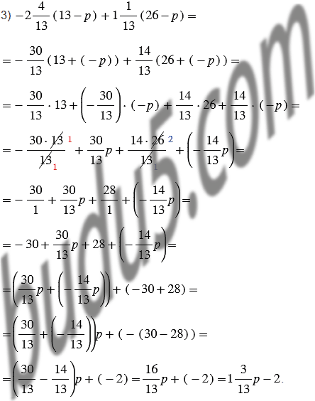
Найдите значение выражения:

Подсказка

Ответ


Вернуться к содержанию учебника