Номер 1118 - ГДЗ Математика 6 класс. Мерзляк, Полонский. Учебник. Страница 236

Вернуться к содержанию учебника

Страница 236

1115 1116 1117 1118 1119 1120 1121

Вопрос

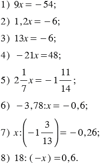
Решите уравнения:

Подсказка

Ответ


Вернуться к содержанию учебника