Номер 1215 - ГДЗ Математика 6 класс. Мерзляк, Полонский. Учебник. Страница 249

Вернуться к содержанию учебника

Страница 249

1212 1213 1214 1215 1216 1217 1218

Вопрос

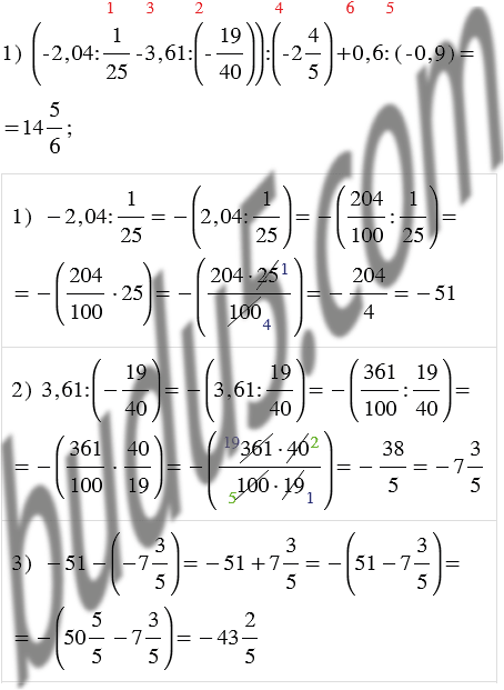
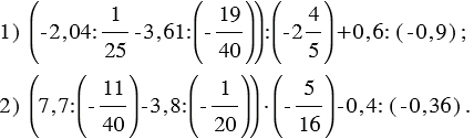
Найдите значение выражения:

Подсказка

Ответ


Вернуться к содержанию учебника