Номер 39 - ГДЗ Алгебра 7 класс. Мерзляк, Полонский. Учебник. Страница 16

Вернуться к содержанию учебника

Страница 16

36 37 38 39 40 41 42

Вопрос

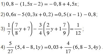
Решите уравнение:

Подсказка

Ответ


Вернуться к содержанию учебника