Номер 262 - ГДЗ Алгебра 7 класс. Мерзляк, Полонский. Учебник. Страница 54

Вернуться к содержанию учебника

Страница 54

259 260 261 262 263 264 265

Вопрос

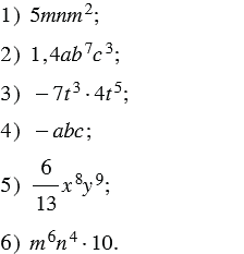
Укажите, какие из одночленов записаны в стандартном виде:

Подсказка

Вспомните:

  1. Какие выражения называют одночленами.
  2. Что называют стандартным видом одночлена.

Ответ


Вернуться к содержанию учебника