Вернуться к содержанию учебника
Страница 73
377 378 379 380 381 382 383 384 385 386 387
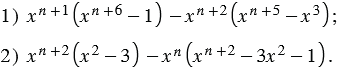
Упростите выражение:
Вспомните: