Главная
ГДЗ
1 класс
2 класс
3 класс
4 класс
5 класс
6 класс
7 класс
8 класс
9 класс
Все ГДЗ
Справочники
Главная
ГДЗ
7 класс
Алгебра
Мерзляк учебник
424. Стр. 79
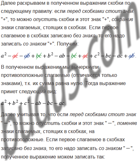
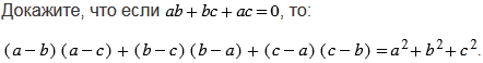
Номер 424 - ГДЗ Алгебра 7 класс. Мерзляк, Полонский. Учебник. Страница 79
←
Предыдущее
Следующее
→
Вернуться к содержанию учебника
Страница 79
419
420
421
422
423
424
425
426
427
428
429
Вопрос
Подсказка
Вспомните:
Что называют
многочленом
.
Как умножить
многочлен на многочлен
.
Как умножить
одночлен на одночлен
.
Правила раскрытия скобок
, подобные слагаемые, приведение подобных слагаемых.
Правила сложения
рациональных чисел.
Правила вычитания
рациональных чисел.
Правила умножения
рациональных чисел.
Модуль числа
.
Противоположные числа
.
Степень
с
натуральным
показателем.
Свойства степени
с
натуральным
показателем.
Какие выражения называют
тождественно равными
.
Ответ
419
420
421
422
423
424
425
426
427
428
429
Вернуться к содержанию учебника
←
Предыдущее
Следующее
→