Номер 11. Задание "Проверь себя" №3 - ГДЗ Алгебра 7 класс. Мерзляк, Полонский. Учебник. Страница 91

Вернуться к содержанию учебника

Задание "Проверь себя" №3. Страница 91

8 9 10 11 12 1 2

Вопрос

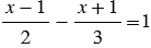
Решите уравнение .

А) 11          Б) 1          В) 7          Г) 5

Подсказка

Вспомните:

  1. Что значит решить уравнение.
  2. Свойства уравнений.
  3. Линейные уравнения.
  4. Умножение обыкновенных дробей.
  5. Сокращение дробей.
  6. Какое выражение называют одночленом.
  7. Какое выражение называют многочленом.
  8. Раскрытие скобок, приведение подобных слагаемых.
  9. Как умножить одночлен на многочлен.
  10. Наименьший общий знаменатель.

Ответ

8 9 10 11 12 1 2


Вернуться к содержанию учебника