Номер 569 - ГДЗ Алгебра 7 класс. Мерзляк, Полонский. Учебник. Страница 104

Вернуться к содержанию учебника

Страница 104

566 567 568 569 570 571 572

Вопрос

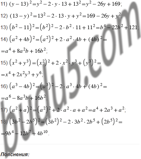
Представьте в виде многочлена выражение:

Подсказка

Ответ


Вернуться к содержанию учебника