Номер 4. Задание "Проверь себя" №4 - ГДЗ Алгебра 7 класс. Мерзляк, Полонский. Учебник. Страница 116

Вернуться к содержанию учебника

Задание "Проверь себя" №4. Страница 116

1 2 3 4 5 6 7

Вопрос

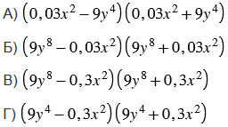
Представьте в виде произведения выражение .

Подсказка

Ответ

1 2 3 4 5 6 7


Вернуться к содержанию учебника