Вернуться к содержанию учебника
Выберите год учебника
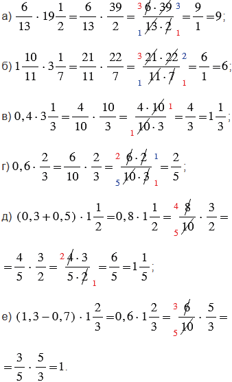
№2.459 учебника 2023-2024 (стр. 104):
Найдите значение выражения:

№2.459 учебника 2021-2022 (стр. 100):
Найдите периметр прямоугольника, если одна из его сторон равна
дм, а площадь равна
дм2.
№2.459 учебника 2023-2024 (стр. 104):
Вспомните:
№2.459 учебника 2021-2022 (стр. 100):
Вспомните:
№2.459 учебника 2023-2024 (стр. 104):

Пояснения:
Правила, по которым выполнены вычисления:
1) произведением двух дробей является дробь, числитель которой равен произведению числителей, а знаменатель - произведению знаменателей. При выполнении умножения дробей, чтобы вычисления были проще, не надо перемножать сразу, лучше сделать это после сокращения. Сократить дробь - значит, разделить ее числитель и знаменатель на одно и то же число (наибольший общий делитель). ;
2) чтобы выполнить умножение смешанных чисел, нужно записать эти числа в виде неправильных дробей, а затем воспользоваться правилом умножения дробей. Чтобы преобразовать смешанное число в неправильную дробь, надо целую часть числа умножить на знаменатель дробной части и к полученному произведению прибавить числитель дробной части; эту сумму записать как числитель неправильной дроби, а в ее знаменатель записать знаменатель дробной части смешанного числа;
3) произведение взаимно обратных чисел равно единице (обратным числу
является число
).
Чтобы выполнить умножение десятичных дробей, преобразуем десятичные дроби в обыкновенные дроби, при этом помним, количество знаков после запятой у десятичной дроби совпадает с количеством нулей в знаменателе обыкновенной дроби и, если возможно, полученную обыкновенную дробь сокращаем.
В пунктах д) и е) сначала выполняем действия в скобках, а затем за скобками.
№2.459 учебника 2021-2022 (стр. 100):




Вернуться к содержанию учебника