Вернуться к содержанию учебника
Страница 226
1052 1053 1054 1055 1056 1057 1058 1059 1060 1061 1062
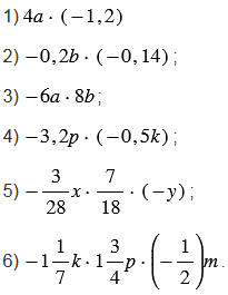
Упростите выражение и укажите его коэффициент:
Вспомните: