Номер 1060 - ГДЗ Математика 6 класс. Мерзляк, Полонский. Учебник. Страница 226

Вернуться к содержанию учебника

Страница 226

1057 1058 1059 1060 1061 1062 1063

Вопрос

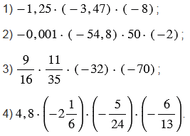
Вычислите наиболее удобным способом:

Подсказка

Ответ


Вернуться к содержанию учебника