Номер 62 - ГДЗ Алгебра 7 класс. Мерзляк, Полонский. Учебник. Страница 18

Вернуться к содержанию учебника

Страница 18

59 60 61 62 63 64 65

Вопрос

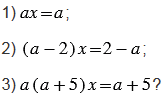
При каком значении любое число является корнем уравнения:

Подсказка

Вспомните:

  1. Что такое корень уравнения.
  2. Линейные уравнения, количество корней линейного уравнения.
  3. Противоположные числа.
  4. Сумма противоположных чисел.
  5. Свойства умножения.

Ответ


Вернуться к содержанию учебника