Номер 64 - ГДЗ Алгебра 7 класс. Мерзляк, Полонский. Учебник. Страница 18

Вернуться к содержанию учебника

Страница 18

61 62 63 64 65 66 67

Вопрос

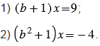
Решите уравнение:

Подсказка

Вспомните:

  1. Что значит решить уравнение.
  2. Линейные уравнения, количество корней линейного уравнения.
  3. Противоположные числа.
  4. Сумма противоположных чисел.
  5. Деление и дроби.
  6. Правила деления рациональных чисел.
  7. Квадрат числа.

Ответ


Вернуться к содержанию учебника