Номер 12. Задание "Проверь себя" №5 - ГДЗ Алгебра 7 класс. Мерзляк, Полонский. Учебник. Страница 129

Вернуться к содержанию учебника

Задание "Проверь себя" №5. Страница 129

9 10 11 12 1 2 3

Вопрос

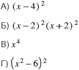
Представьте в виде произведения выражение .

Подсказка

Ответ

9 10 11 12 1 2 3


Вернуться к содержанию учебника