Номер 1024 - ГДЗ Алгебра 7 класс. Мерзляк, Полонский. Учебник. Страница 202

Вернуться к содержанию учебника

Страница 202

1021 1022 1023 1024 1025 1026 1027

Вопрос

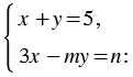
Подберите такие значения и , при которых система уравнений

1) имеет бесконечно много решений;

2) имеет единственное решение;

3) не имеет решений.

Подсказка

Ответ


Вернуться к содержанию учебника